Q for Dummies - Chapter 8
Drops #61-67
The Badlands ‘Q for Dummies’ series attempts to ‘dumb down’ one of the most significant open-source intelligence drops of all time, which is partly responsible for triggering the period many refer to as ‘The Great Awakening.’ The series is intended for both newcomers and those looking for a fun review. Start with Chapter 1.
Hello, frens! Welcome to Chapter 8 of ‘Q For Dummies!’
In this edition, I will be covering drops #61-67, and lemme tell ya - there will be no shortage of things to discuss from this set of drops. Not only are we about to come up on the takedown of the Saudi Royal Family, but Q also educates us on some very real attacks that were occurring against POTUS at this time.
As we take a look around, it is becoming more and more apparent that the Deep State apparatus is crumbling.
Robert Hur’s testimony was absolutely damning to Biden, and even though charges were not recommended, that does not mean they will not eventually come. It is my belief we are seeing full on exposure, which will eventually lead to charges once we see Trump back in office. After all, Q did tell us “how do you legally inject evidence …”
By doing exactly what we saw Robert Hur do, by seeing hearing after hearing after hearing.
I know it is tiring and exhausting to see all of these hearings and investigations that seemingly produce no fruit. However, I need y’all to bear in mind that all the while, what we are seeing is evidence being put on public record. Just because no charges have been brought at this point does not mean that charges won’t be brought in the future.
Future. Proves. Past.
Speaking of “future proves past”, before we get rolling on Chapter 8, I want to share one of the best board hits I have ever seen, and it happened yesterday.
As many of you are aware by now, Hunter Biden’s trial date for his gun charges has been set for June 3rd. So, of course I go to check the deltas for that day, and lo and behold, what did I find?
Q Drop 1440 just so happens to have been made on June 3rd, 2018 - a 6 year delta to when Hunter Biden’s trial will begin. Not only that, but this drop also has a pretty peculiar pattern to the text. A pattern which, when turned upside down and mirrored makes a gun.
I’m sure it is just another one of those pesky “coincidences”.
This is just more proof to me that the Q Drops are as relevant today as they were 6 years ago, and it is exactly why I am so heavily invested in, and deeply passionate about the Q Operation. It truly was/is the biggest intel drop ever to be made public.
One note to make before I really get going here. You’ll notice the look of the graphics will be a bit different. I decided to remove the text from the chalkboard, as I felt it was a little too busy, and redundant to boot. This should make the articles a little bit cleaner, and a little easier to take in.
Anyways, I digress. What do y’all say we dive into Chapter 8? LFG!!
Drop #61 - November 2 2017:
To begin this drop, Q asks anons to refer back to old crumbs and collect them. This statement will come back up in a few more drops, but the important takeaway here is that Q is making sure we pay attention and that we don’t take any information given for granted.
Q moves on to say that the Q Team has anticipated the blackout of multiple social media platforms as this war continues to escalate. Suffice to say, we have certainly seen enough of that since 2017 in particular. Q also lets us know that, per sealed orders, white hats were, and are able to track where these clandestine attacks are coming from, and that the attacks themselves never last long and services are usually reinstated pretty quickly.
The last point I have highlighted is one in which Q tells us to expect random blackouts of various platforms (this can also be expanded to include social media accounts as well). Q’s inclusion of the word “infiltrated” is saying that despite the best efforts of the white hats, there would be rogue employees and bad actors that would still cause service disruptions from time to time.
Q ends the drop by telling us that the attacks being levied against Q and the platforms that Q chooses to post to should be more than enough proof that the things being discussed are very real.
Drop #62 - November 2 2017:
Q adds on to the request from the prior drop, and asks anons to begin assembling a graphic containing all the crumbs that have been dropped so far. Spoiler alert: Anons don’t disappoint. This will become apparent within a few more drops.
In the second highlighted section, Q tells us that everything being dropped is being recorded by [them]. Q then goes on to say it doesn’t matter, and that nothing can stop what is coming.
Alice & Wonderland, in this instance, is referring to HRC and Saudi Arabia. We will get to that soon.
“WHERE IS BO TODAY?!”
If you look for Obama’s whereabouts around this time not much turns up save for a few globalist shindigs he appeared at, including one in Chicago. It is my take that Q makes these mentions about Obama’s location to ensure we don’t take eyes off of him, and this will become super important as we get towards the North Korea portion of the drops as well.
(Take note: The mention of Podesta’s attorney being notified was never sauced/confirmed as far as I can tell. That said, this does not mean it did not happen. Q said it for a reason, and as we can see - Podesta is currently back in the news.)
Drop #63 - November 2 2017:
Here we see an ultimatum delivered.
There is currently an attack unfolding against POTUS, and Q is openly calling out the Deep State/intelligence agencies that are perpetrating the attacks. He tells them they have a choice to make - either do the right thing, or reap what they’ve sown and face the consequences.
Q then goes on to tell them that they are most definitely on the losing side. At this point, [they] are told that if they take down /pol (4chan board) that the white hats are ready.
Below that, we see Q drop a sequence of numbers and letters. When you copy and paste these numbers, you will find that they lead to the Wikileaks Hillary Clinton Archive, as seen below:
Drop #64 - November 2 2017:
This drop is among the most serious of the early drops, both in tone, and message.
Q makes it very apparent that a serious attack is taking place against both POTUS, and the Q Team. The drops themselves were a salvo against the Deep State the moment the first drop hit. Going hot with the drops and making such a large intel drop to a public platform created mass levels of panic amongst [them]. As such, they began striking back.
We see an example of this here, as a rogue Twitter employee took down President Trump’s Twitter account for 11 minutes. Recall the earlier drop mentioning this very scenario. (Sidenote: This Tweet carries more relevance than many yet realize, IMO. More to come on that on my own Substack in the future.) The official excuse given by Twitter was that the removal of Trump’s account was an accident. Q assures us that it wasn’t.
He moves on to tell us all that if the “lights go out,” that Patriots are prepared and assets are in place to counteract such a move. To this point, we have not seen the “lights go out”. Whether or not that phrase is talking about a complete power grid blackout, or an internet blackout is anyone’s guess. But I suspect we will eventually know which is being referred to.
As [their] panic increases, I put nothing past [them] to interfere with, or attempt to stop the 2024 election.
Drop #65 - November 2 2017:
In drop #65, Q tells us that a three letter agency (Most likely the CIA) embedded tracking into POTUS’s Twitter in order to geo-locate him at any time they wanted. This is the reason they took his account down - in order to attach the tracking software to his account.
So, it should be clear that this was not just some rogue employee looking to be a troll. This was an attempt at tracking the President for purposes only they know, but which we can certainly make a few educated guesses as to.
It is my take that “It has begun” is Q telling the board that the war has officially become hot to the public eye (even if they are unaware). To this point, we hadn’t yet seen [them] really make any moves against POTUS to this degree. But within days of Q’s first drop, [they] became panicked enough to take down Trump’s Twitter account and install tracking software on to it.
Drop #66 - November 2 2017:
Here, we see Q replying to an Anon. The Anon asked Q if POTUS was being attacked by his own intelligence agencies. This attack was detected by white hat elements within the NSA, and POTUS was immediately made aware. This means that within a mere week of the Q Drops’ existence, [they] have become so unsettled that they have begun attacking POTUS directly, and of course, this attack also signals that big tech is involved as well.
In so far as immediate actions that are occurring, it is my belief that Q is referencing various moves and countermoves taking place between Patriots and bad actors.
Drop #67 - November 2 2017:
Last drop of this Chapter, frens!
However, it is a doozy, and is gonna take a good bit of time. I have decided to break this drop down into multiple sections, not only because it is a huge drop, but also because it is an incredibly important drop.
At this point in time, John Podesta had last been seen at a speaking engagement at Georgetown University. Tony, on the other hand? Well, have a looksee:
At this point, it had been over a month since anyone had seen or heard from Tony Podesta. Even more curious is that his business, The Podesta Group dissolved merely 3 days after Q began to post. And if you recall, very early in the drops, Q makes mention of Podesta being indicted. In all likelihood, Q is telling us that Tony Podesta had escaped the country at this time.
As I said above, Q asking where Obama is, or has been, has far more to do with future drops than it does anything current.
We are then asked the difference between commercial and private security as it pertains to boarding an airplane.
Basically, when you fly private, the security measures are much more relaxed, and if you are someone like Obama, Clinton, etc … then not too many people are going to ask questions about where you are going, where you have been, or who you may have met with.
At the time, the head of the TSA was David Pekoske. Pekoske was a Vice Admiral in the Coast Guard, and was very highly decorated.
He was also nominated by President Trump, and nominated again by Resident Biden - which, if you believe in Devolution may well be a little more proof of that theory. That is, if this fellow is actually a Patriot who was reporting on the deep states flights and movements. As director of the TSA, he would have access to flight logs and other flight data that others wouldn’t.
I was unable to find any information on which political party he donated to.
We are all well aware that, post 9-11, many new protocols were put in place in regards to airplane travel and safety. Chief among these was the tightening up of the “no-fly list” - a list that will physically prevent someone from being able to travel via airplane into, or within the United States.
There are 2 major airports in the D.C area: Dulles, and Reagan. However, I find it highly unlikely that big name players and bad actors would be utilizing either of these airports for their private flights. There are far too many eyes at either location. In addition, both airports have restricted access and airspace, and make it much more difficult for bad actors to move around undetected.
As such, they would much prefer smaller, more private airports, such as the 3 smaller airports outside of D.C known as the “Maryland Three”. These are: College Park Airport, Potomac Airfield, and Hyde Executive Field. It is highly likely these are the airports Q was bringing attention to.
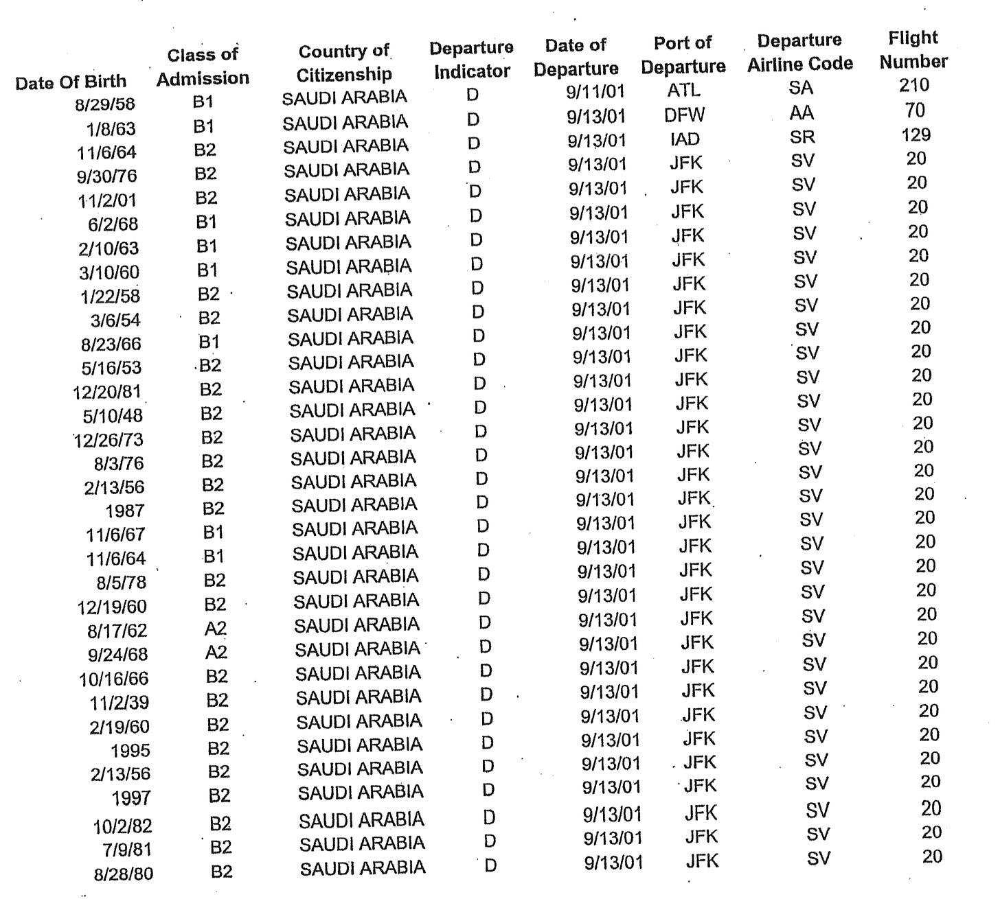
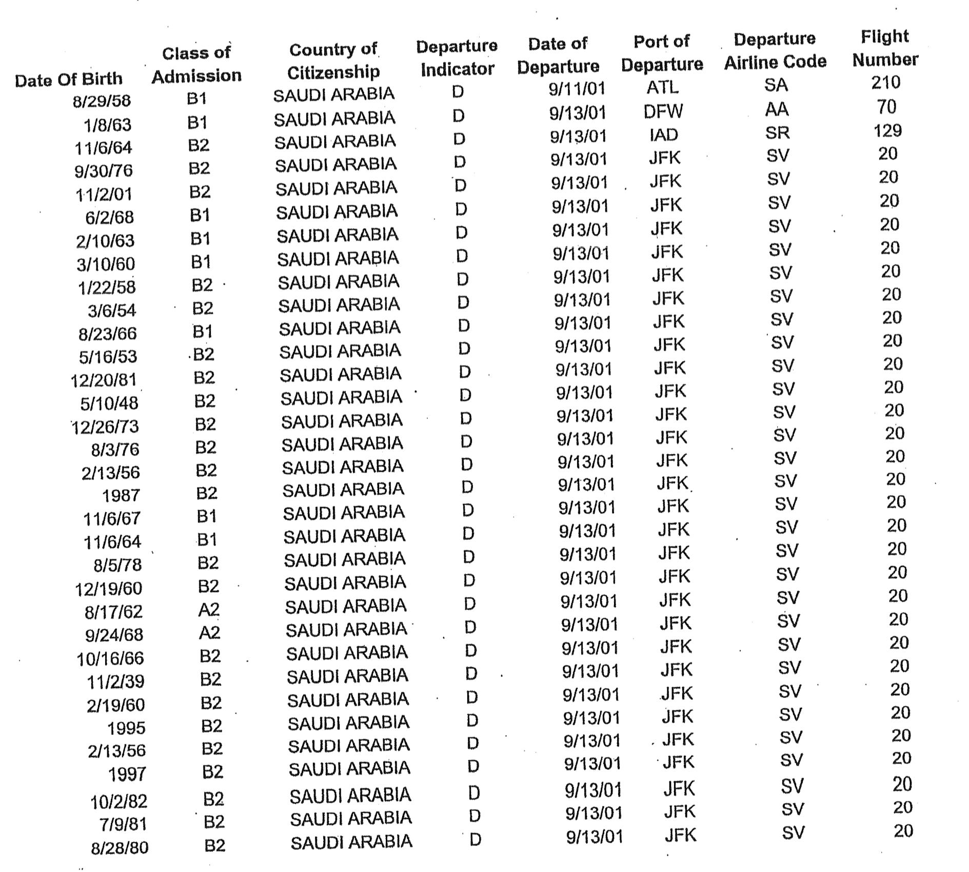
After 9-11, we all remember the grounding of flights nationwide. However, this did not stop one flight from leaving.
Who was on that flight?
Looking at Judicial Watch FOIA requests (Courtesy of our fren Patriots In Progress), we can see that it was a Saudi National who was granted leave from the United States on 9-11.
But wait, there’s more …
Days after 9-11, dozens of members of Bin Laden’s family were allowed to leave the United States. All of these flights had to have been approved from the highest level. So, for the cameras, Bush is decrying the evil Osama Bin Laden, meanwhile, he is helping to shuffle his family on out the backdoor.
The fact that all of these people were allowed to leave is as mind-blowing as it is sickening. It shows the lengths the deep state will go to in order to achieve their goals, and that is one of the things Q is pointing at here, right along with the fact that the Saudi Royal Family was balls deep in helping to f**k the United States raw.
The only flight to leave on 9/11 departed from Atlanta. This becomes very relevant in the near future, as an incident at Atlanta Hartsfield Jackson airport may very well be tied to this.
Having never been able to confirm that Podesta’s plane had received a military escort, I have to assume that this is a ‘future proves past’ event. Nonetheless, with Podesta being back in the news, I find this to be worth keeping an eye on.
The next question posed is which anchor would not be appearing on air that evening. As it turns out, this anchor was Erin Burnett from CNN. Not only is she a member of the Council on Foreign Relations, but her husband David Rubolotta is a trader with Lehman Brothers, and there are some Saudi ties there. So, given the fact that we were days away from the Saudi Royal Family being toppled, this is pretty interesting, indeed.
Q asks us exactly where $18bn from George Soros went, but this is rhetorical, as there is no concrete proof of where it went. One can’t help but notice the boosts that various DNC institutions and media mouthpieces received at this time, however. The inference from Q is that this money was being used to fund many different facets of the deep state.
Q then asks if the U.S Government would seize these monies in an effort to stop these actors.
This was before E.O 13848 came out—the E.O about seizing the funds and assets of those involved in human trafficking and serious human rights violations. It is my feeling Q is telling us that white hats know where this money went, and that it is being tracked.
Q then ends the drops with some general questions as it relates to Saudi Arabia.
Q asks Anons to discover why Jared Kushner traveled to Saudi Arabia.
As we saw, Kushner ended up playing a crucial role in Middle East relations during Trump’s administration. Saudi Arabia is known for egregious human rights violations, bribing politicians worldwide, and also for various Holy Sites of Islam. That isn’t to say Saudi Arabia doesn’t have lovely people or a lovely culture, but it is to say that Saudi Arabia has been used as a hotbed and a port for the Deep State for a very long time.
Saudi donations to the DNC are astronomical—not to mention the connection with the Muslim Brotherhood. But I will save that for later, as it will definitely come back up, and in greater detail.
An article came out that smeared Trump and Kushner. Q asks why the timing was important, and as we are about to see, the timing was important because all hell is about to break loose in Saudi Arabia, and none of it will be good news for [them]. The Deep State ultimately released the article, using the mockingbird media in an attempt to try and get out in front of what is coming.
That will just about do it for this Chapter, frens! I hope you all have enjoyed!
As always, thank you all so very much for your love and support. It means more to me than you know. Please keep fighting, and never give up. We must continue to push towards our goal of retaking our country back from the Communist incursion attempting to subvert it.
With God at our backs, no one can be against us. Until next time, may you all be surrounded with love, protection, and God’s light. Be blessed!
Badlands Media articles and features represent the opinions of the contributing authors and do not necessarily represent the views of Badlands Media itself.
If you enjoyed this contribution to Badlands Media, please consider checking out more of Paul’s work for free at Beyond the Veil.
Badlands Media will always put out our content for free, but you can support us by becoming a paid subscriber to this newsletter. Help our collective of citizen journalists take back the narrative from the MSM. We are the news now.





























Having read all Q posts at least three times over the past years, I find your "Q for Dummies" the best resource to date. Thanks so much for allowing me to send on such great explanations of the Q movement to fellow Australians who still have a lot of catching up to do. These short bursts of information are imperative in their education on what is and has been playing out on the world stage for decades, if not centuries. I look forward to each and every chapter.
Thanks Paul, I loved your closing quote from Sun Tzu.
God Wins!
God Bless!!!